首页 | 金融服务法总论|证券和金融商品交易法|银行法票据法|保险法|信托法|金融公法|金融税法|环境金融法|国际金融法|法金融学
中财法学论坛|国外动态|金融服务法评论|金融服务法研究咨询报告|金融法案例|金融法规速递|金融消费者教育|课程与课件|金融法考试
 今天是
中国法学会证券法学研究会2025年年会会议议程      扎根中国大地 立足中国实际 为推进中国式现代化提供有力法治保障      年会通知 | 中国法学会证券法学研究会2023年年会通知      北京市金融服务法学研究会2022年会成功举行     
您现在的位置:首页>>>信托法
基础设施REITs发展的国际经验及借鉴(二)
中信建投证券课题组
上传时间:2021/3/8
浏览次数:623
字体大小:
四、基础设施REITs法规和政策制定原则
前文分析了境外REITs和基础设施REITs发展过程中的制度经验,可以发现灵活完善的制度是发展的基础。为促进基础设施REITs市场发展实现服务实体经济的目标,需要厘清REITs立法的逻辑,REITs法规和其他法规的关系,法规政策使用的范围和场所等等。这些都需要吸收境外经验,同时结合国内市场的实际情况。
(一)立法的逻辑起点
国际上REITs有两类逻辑起点——传递工具(即美国和日本REITs中的conduits,其功能是收益权和附加义务的直接转让)和集合投资。从传递工具的定位出发,REITs的逻辑可以简述为:传递工具的定位需要限制REITs主动进行生产经营活动;发行人为了能够有效控制资产,投资人为了获得更高的投资水平,内部管理人模式可以比较容易地实现资产管理人和投资人利益的统一;内部管理人模式比较好的实现形式就是公司制REITs。从集合投资的定位出发,REITs的逻辑可以简述为:信托或基金本身具备集合投资的功能,于是在法律上成为REITs的载体;信托和基金本身不进行物业资产的管理,不从事物业开发,天然是外部管理人模式。目前两种REITs都比较成功,应该依据实际情况选择更符合国内实体经济发展需要的模式。
由于各国法规政策环境的差异,前述逻辑链条在实现形式上并不是固定的。如日本的REITs和基础设施基金是传递工具定位,法律形式上采取的外部管理人模式实质仍是内部管理人模式,资产管理公司由发行人在REITs设立前设立。澳大利亚REITs则通过合股模式,将信托份额与资产管理公司股份绑定,实现了内部管理人模式。
(二)处理好三类关系
在制定基础设施REITs法规政策时,需要特别注意处理好三方面关系。
一是REITs法规和其他法规的法律关系,REITs法规与其他法律法规保持一致,符合国家发展和改革方向。一方面是与现有金融法规相适应。可以借鉴的经验如澳大利亚和日本依托于现有投资法或信托法,将不动产和基础设施作为新增的投资标的种类。新加坡、香港地区及推出REITs较晚的欧洲国家虽然是单独为REITs立法,但新法规都是在原来资产管理或者信托业的法规框架内。几乎所有市场REITs的发行、交易环节都建立在证券交易所原有规则的基础上。另一方面是要与基础设施监管法规相适应。特别是有不同权属、受不同地方法规规范的基础设施,需要差别对待。第三方面是税法问题,需要综合考虑兼顾效率和公平。
二是金融监管部门和其他政府部门的关系,保证REITs的监管既能满足金融市场需求,也能满足基础设施服务实体经济的需求,并兼顾地方财政和资产的经济功能。
三是发行人和投资者的关系,建立起发行人和投资者保持利益一致、妥善解决分歧的机制。发行人和投资者的关系最突出的体现就是所有权和管理权的关系,两者利益有统一的一面,也有存在分歧的一面。既要在法律法规上对发行人和投资人利益予以合理保障,对利益冲突要有平衡机制;还要在产品的组织形式上明确各方权责边界。此外还需要在政策上让地方政府确立资产管理人定位,认可REITs投资人对基础设施收入的所有权。
(三)发行和交易场所
金融产品的发行交易场所是重要的金融基础设施,场所本身还关联监管、支付、清算、交易、投资者保护等内容。公募发行的主要场所是沪深证券交易所和银行间市场。交易所市场在公募基金和上市公司有较大的优势,发行上市、交易、退出、投资者保护等相关法规均有成熟的制度。银行间市场最大的优势在于集中了几乎国内所有的机构投资者,机构投资者参与有利于合理估值合理定价。银行的信贷部门作为各级政府基础设施建设的主要融资来源,从立项、建设到运营全过程都会有比较深入的了解,对于项目价值有准确深入的判断。银行间市场还有制度创新优势,出台新法规制度的层级低难度小,非常适合针对REITs产品设立专门监管规则,并且各类集合信托产品在银行间市场的发行制度也非常成熟。
除了公募之外,私募也可以作为多层次资本市场的补充。私募发行有三种常见形式:一是公募发行市场的私募产品;第二种是私募基金,面向证监会规定的合格投资者;第三种是在地方股权交易中心发行上市,由地方金融办进行监管,监管最为宽松。投资人和发行人可以在法律法规允许的范围内,按照自身需求对产品进行定制化设计。美国REITs就是非常好的借鉴案例,除了公募上市REITs之外,美国还有32只公募非上市(含一只公募非上市数据中心REIT)和15只私募REITs。
(四)会计处理问题
在REITs产品发行前后保持一致的会计准则利于保障资产运营的连续性和可预期性,并且发行人也可能有继续控制资产的需求。债权型融资不会影响控制权,但权益型融资会对控制权产生影响。
按照现行的会计准则,基础设施REITs的会计处理方式因不同形式REITs而异。在REITs层面,公司制REITs可以将资产分类为长期股权投资或者金融资产,公募基金REITs只能将资产分类为金融工具,信托形式REITs的资产依据资产形式可以分类为长期股权投资、固定资产、金融工具等等。
对于投资人也是发行人的情况,REITs公司的股权可以分类为长期股权投资或者金融资产,公募基金份额则只能分类为金融工具,信托份额的分类受到信托设立前资产分类的影响。对于发行人的影响需要具体分析。对于公司制REITs,发行人如果想要继续控制资产,只需要持有足够比例的REITs股权,并在会计科目上将REITs记为长期股权投资,在持有期间可以采用成本法计量。对于公募基金REITs,REITs份额只能记为以公允价值计量且其变动计入当期损益的金融资产。对于信托REITs,委托人和受益人可以延续未设立信托前的会计政策。
公司制和信托制下发行人可以便捷地保留控制权并维持会计政策。建议监管部门在推出公募基金REITs的同时,规定公募基金REITs份额在一定条件下可以作为以成本法计量的资产。这些条件应该包括:持有人也是基础设施原所有人,持有比例达到控制,保证一定期限内不卖出,持有人从事开发业务的主体与管理REITs基础设施资产的主体不是同一个等。
(五)基础资产期限
按照《基础设施和公用事业特许经营管理办法》规定,传统基础设施特许经营权最长30年。对于市场化经营的物流园区、数据中心等新型基础设施,其工业用地的土地使用权最高年限为50年,商业用地为40年。持有单一基础设施的REITs,产品存续期应该与资产使用权、经营权期限匹配。为了使REITs长期存续,则需要再融资制度配套,包括负债、并购、资产买卖等,需要不断更新所持有资产,因此需要对经营行为进行明确规定。
(六)其他经济原则
此外,还需要从经济角度和投资者角度明确一些法规政策制定原则。包括:以服务经济发展为目标;政策应该循序渐进,维持包容性,具体细节上随着市场变化不断微调;保障投资者合法权益;保证市场活跃度和所有参与者之间公平竞争。
五、法规和政策的具体建议
在确定了法规政策的原则后,就可以分析具体的条款,包括发行市场和交易规则、税收政策、会计准则、开发建设业务的限制、行政推动、退市制度和投资者保护等方面。
(一)发行场所和交易规则
可以顺应多层次资本市场特征,探索不同市场不同形式,利用市场机制寻找政策目标、监管规则和市场之间的最佳组合。
1.交易所市场发行公募基金REITs
监管机构已经出台了一系列规定。从集合投资的定位出发,还应该包括:(1)明确外部管理人的要求,包括:外部管理人应该和专项计划的资产服务机构至少是在同一公司控制下;在确定合适的新管理人之前,原管理人有继续尽职尽责管理的义务等。也可以参照合股模式,公募基金持有资产管理人股权。(2)基金组织形式。持有人大会应该设立独立于外部管理人的日常机构负责持续评估基金管理人和基础资产管理人的业绩。(3)从负债成本占利润比例的角度限制负债规模。(4)依据发行主体和资产细化对于资本弱化结构的要求。
2.交易所公司制基础设施REITs
可以在交易所层面新增此类上市公司。这类上市公司除了需要满足一般上市公司的要求外,还增加管理方式、收入、资产、分配比例、负债规模限制等要求。
3.银行间市场信托REITs
基础设施信托REITs可以参考两种模式。一是LIF的合股模式,下设两个子信托,一个持有基础设施资产的项目公司100%股权,一个持有资产管理公司100%股权。二是香港的REITs模式,发行人同时作为份额持有人和基础资产的管理人。
4.私募和地方股权交易平台私募发行REITs
可与公募的要求保持一致,但投资者范围严格限制在有基础设施投资经验的合格投资者。权责和利益分配等可由双方自主协商。对于区域性的资产,也可以在地方股权交易平台发行。发行规则方面,可由各地金融办比照全国性公募市场制定本地规则。
5.择机推出抵押型REITs
抵押型和权益型REITs的定位不同,是债务融资。对于负债规模较小、债务杠杆压力较小的基础设施运营企业,只要在发行后债务规模仍在可控范围内,就应该允许其发行抵押型REITs。
(二)税收政策
1.一般优惠
公司制基础设施REITs税收减免的依据是传递通道定位。应当优惠的部分包括:分红部分的企业所得税,买卖基础设施资产或基础设施项目公司股权产生的利得税、增值税、增值税附加税,运营期间的增值税、增值税附加税等。这些税收只需要由股东一次性缴纳所得税即可。基础设施基金REITs和信托REITs应与一般的公募基金享有同等税负。对于抵押型基础设施REITs,其主要业务是发放贷款或者购买抵押证券,在市场中所起到的作用类似于信托贷款,应当与贷款享有同等税负。
2.定向优惠
对特定区域和领域可给予税收优惠,以促进基础设施投资和建设、维护公平高效的基础设施REITs市场。可享有优惠的情况包括:困难地区、国家政策大力扶持的区域和领域、市场发展不成熟阶段等。在市场起步阶段,对基础设施REITs给予税收优惠或者递延征收有利于促进市场繁荣。另外,税收的地方留成部分返还给企业是各地政府在扶持本地企业和招商引资过程中的常规政策,对于地方经济发展起到了非常积极的作用。这样的政策也可应用于基础设施REITs。
(三)会计准则
对于基础设施公募基金REITs,对会计准则做一些调整,可以提高发行人的会计计量连贯性。
在公募基金层面:一是公募基金可以将持有的专项计划资产分类为以公允价值计量且其变动计入其他综合收益的金融资产,或者穿透依据底层资产性质可选择成本法计量;二是公募基金可以将负债分类为以摊余成本计量的金融负债;三是专项计划和项目公司对外负债计入基金负债总额。
在持有人层面:一是基金份额持有人、基金的资产管理人、专项计划资产服务机构构成同一公司控制的、或者为同一公司的,并且基金持有人持有比例使其在持有人大会处于控制地位的,基金份额持有人可以将基金份额分类为以公允价值计量且其变动计入其他综合收益的金融资产,或者持有规模足够大时采用成本法;二是基金份额持有人、基金的资产管理人、专项计划资产服务机构构成同一公司控制的、或者为同一公司的,但持有人不处于实际控制地位的,应该将其他综合收益重分类为投资损益;三是基金份额持有人与基金资产管理人、专项计划资产服务机构不属于同一控制的,需要将基金报表中的其他综合收益重分类为投资损益。这样就可以在不损害投资者利益的前提下,发行人在产品发行前后对基础设施资产的会计处理尽可能保持一致。
(四)再融资制度
再融资制度是资本市场的基本制度之一。在交易所发行的公司制REITs,可参照上市公司进行配股和增发。对于公募基金REITs,可在《基金法》规定的情况下进行扩募。对银行间市场发行的信托制REITs,可按照《信托法》和信托合同进行扩募。但对于资金用途应当严格限制,限制包括:新募集资金用途限定在并购和购进新的基础设施资产,对原有基础设施资产的维修、升级、改造,新募集资金可以用于偿还REITs债务。
(五)退市制度
退市制度既是保证优胜劣汰的基础性制度,也是给予发行人再决策选择权的制度。除了现有上市公司和基金退市规则外,至少应该从两个方面增加退市要求。
一方面是上市的REITs分红比例持续不达标的应该取消其REITs资格,按照一般金融产品处理。严重违规开展开发建设业务要取消上市资格。交易基础设施资产或者其他REITs份额导致不满足REITs的,应设定期限。
另一方面是主动申请退市的情况。应该明确规定主动退市条件,包括发起退市的份额持有人持有的比例超过50%,支付对价应当在二级市场价格基础上进行协商等。如果二级市场不活跃,则支付对价应该以发行价格或者独立第三方的估值为基础。此外,还需要考察退市后经济职能的变化情况。
(六)适当放宽开发建设的限制
适当放宽REITs从事开发建设,可以让REITs实现开发、运营、退出的业务闭环。这在成熟市场有比较成功的例子。对于公司制REITs,可以允许其持有开发类子公司股权。对公募基金REITs,有两种方式参与基础设施开发建设:一是允许公募基金持有开发建设子公司股权,二是允许专项计划持有开发建设公司股权。对于信托REITs,由子信托持有的资产管理公司从事基础设施开发建设。对于私募REITs,则可以在法律法规允许的范围内采取灵活多样的形式。
无论是哪种形式,都需要限制开发建设业务的范围。例如不能从事与REITs持有资产种类无关的领域,不能超过REITs总资产的一定比例。
(七)政府选择标杆项目并推动上市
基础设施REITs属于金融创新产品,与传统的股票、债券、基金都有较大差异。在市场起步阶段,由政府监管部门选择标杆项目从两方面解决相关参与方的认知问题:一方面政府力量可以快速确立标准,引导发行人和金融中介机构的行为;另一方面典型项目可以让投资人更快地认可新产品。
(八)投资者保护
投资者保护是资本市场永恒的主题。除了现有的投资者保护法规外,还需要针对REITs的特殊性做一些补充规定。
一是保证发行人作为资产管理人时和投资人有对等的协商地位。在内部管理人模式下,资产管理人也是投资者的一部分。可以比照现有的上市公司投资者保护规则。在外部管理人模式下,可以参考基金和信托的投资者保护规则。但是,对于影响较大的意外事件,如发生不可抗力时交通、水电暖气等的暂停收费决策,还需要个别规定。
二是利益关联人的问题。对于退市、清算等涉及投资人重大权益的事项,除了投票权比例外,还需要审核对中小投资者的影响,防止发行人和大机构侵害中小投资者。股东大会或者持有人大会的决策事项对国家或者地方有重大经济影响的,既要保证REITs市场为基础设施融资的功能,也要防范地方政府和国企违规干扰金融产品正常运行。
三是关于金融中介机构监管。一要从产品端强化监管,保证金融机构在REITs发行、推介过程中尽职尽责。二要从投资端强化监管,保证金融机构做好投资者筛选,保证投资者对基础设施REITs有基本的知识和判断能力。金融中介要做好投资者教育和投资者风险分类,及时督促相关方按时完成信息披露。
四是确立临时托管人制度。特别是针对资产管理人不能正常履职尽责,股东大会或持有人大会尚未确定新资产管理人的情况。
五是具有重大经济职能的基础设施资产REITs被其他机构取得了控制权的情况。没有基础资产管理能力的投资人,在取得控制权之后,更换资产管理机构必须向股东/持有人大会和监管机构提供充足的证明。
六、基础设施公募REITs试点分析
本部分分析证监会和发改委推出的基础设施公募基金REITs试点产品。依据证监会发布的《公开募集基础设施证券投资基金指引(试行)》(证监会公告〔2020〕54号)(以下简称《指引》),此次试点的REITs采取封闭式公募基金,80%以上投资于资产支持证券。《指引》意在利用公募基金和类REITs的优势,但依然存在一些问题,主要体现在税收和各相关方职能规范上。产生问题的主要原因是定位不明。《指引》用封闭式私募基金是用集合投资定位REITs,但没有确立基金管理人的投资机构身份。《指引》要求基金管理人负责日常运营,是典型的内部管理人模式,属于传递通道定位。混合定位会导致监管政策规定的复杂性。
除了定位问题外,还存在直接套用现有产品,但没有注意到产品由债权变成股权带来的问题。即将类REITs直接权益化导致资本弱化结构(股权:债权≥1:2)包含看了跌期权。以一个简化情形说明这个期权对REITs估值的影响和发生概率。简化情形的假设条件为:(1)项目公司受原始权益人完全控制,专项计划内部没有分级且私募基金没有分级;(2)私募基金持有项目公司股权价值为S,债权本金为L,L到期一次偿还;(3)假设项目公司的股息率和债权利息均为q;(4)不考虑赋税和经营成本;(5)债权期限与REITs期限相同,基础资产特许经营权可续期或者期限长于REITs期限。
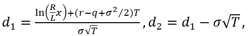
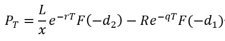
先给出解析公式。基础设施资产特许经营权的价值/所有权价值为IN,IN=S+L,S:L>1:2。未来现金流折现值对专项计划的覆盖比例为x,x>1即现金流超额覆盖,x=1即资产价值完全变现。债权无违约风险时REITs的价值应该是R=IN/x。于是股权价值可以表示为S=Rx-L。REITs波动率记为σ。假定REITs的存续期T。无风险利率记为r。在存续期内任意交易日St≤0就触发期权行权的话,就是一个美式看跌期权。美式期权价值和行权概率要高于欧式。为了计算简单仅给出欧式的结果。由Black-Scholes公式,期权价值为:

其中,
F为累积正态分布函数。在到期日,价格下跌至ST≤0(即RTProbT=F(-d2)
可以看出:(1)价格波动越大,回购概率越高;(2)债权比例越高,回购概率越高;(3)现金流覆盖率越高,回购概率越低;(4)公募基金在购买资产支持证券时应该打折;(5)如果触发期权行权,原始权益人回购REITs份额是经济上最有利的选择。
看一个数值例子(数值来自中交路建于2020年6月9日在深交所发行的类REITs)。专项计划总规模IN=47.05亿元,x=1,债权比例达到上限即S:L=1:2,REITs期限24年。假设市场无风险利率r=3%,预期波动率和股市接近σ=15%,股息率和债权的利率都是q=3.48%。可以算出P_T=2.95亿元,则公募REITs购买价格应为R=44.1亿元;回购发生概率较高,为ProbT=49%。如果降低债权比例至20%,即S:L=4:1,则P_T=0.05亿元,回购发生概率降低为ProbT=4.79%。
七、结语
在REITs起步较早的市场,经过市场不断发展、法规反复修改之后,基础设施资产才开始成为REITs标的。在多数后发市场,都是参考成熟市场、立足自身法律体系、在政府直接参与市场的情况下推出的,基础设施REITs普遍取得成功。基础设施占美国占REITs的三分之一,在日本、澳大利亚约为十分之一,在英国、新加坡约为六分之一。本文借鉴成熟市场经验,并结合国内市场实际情况探讨了基础设施REITs法规政策制定的原则和一些重要的规定。
在制定法规政策时还应该立足于经济发展的实际需要,依据市场需求确定产品形式,为了保证市场公平需要对优惠政策采取审慎态度。政府和监管机构联合选择代表性资产首发,利于市场尽快建立一致预期。
从产品法律属性看,REITs立法有了REITs的两类逻辑起点。一类是将REITs看作传递工具,一类是将其看作集合投资。这对应了不同的产品形式、管理模式、监管方式和税收制度。可以在不影响市场公平的情况下采取税收优惠。以地方税收返还和特殊地区减免为代表的税收优惠政策也可以运用于基础设施REITs。
可以利用国内金融市场现有的特征,在交易所市场、银行间市场、私募市场、地方股权交易平台都推进相应的基础设施REITs产品进行试点。
基础设施REITs法规政策应该首先处理好与现有法律的关系,特别是与现有金融法律法规政策、基础设施相关法律法规政策、税务法律法规政策的关系,要能与现有法规政策相融合。处理好发行人特别是政府平台发行人与金融市场投资人的关系,在两者不一致时设置合适的分歧处理机制。
在会计准则上,应该调整REITs的会计准则,允许发行人以在一定条件下采取成本法计量,以此来保证发行人,特别是政府平台发行人在财务规则上的连贯性。
由于基础设施资产特许经营权、土地使用权等是有限期的,因此还需要对产品期限以及产品的运营规则如资产交易、再融资、退市等进行配套设计,才能实现产品长期存续。
本文也对证监会和发改委的基础设施公募基金REITs试点法规进行了分析。特别是资本弱化结构在公募基金REITs中有违约期权的功能,会对产品的发行、交易、定价、管理产生非常大的影响。建议在配套法规中细化规定资本弱化结构。
本文提出,基础设施REITs作为资本市场产品,需要通过一系列的法规政策配套措施,以保证REITs市场健康发展,有效促进基础设施发展。这些配套法规政策既需要借鉴国内外经验,也需要充分结合现有的法规制度和市场现状。
出处:《证券市场导报》2021年第1期
 
 
分享到: 豆瓣 更多
【打印此文】 【收藏此文】 【关闭窗口】

网站简介 | 联系我们 | 网站地图 | 网站管理

公众微信二维码
建议使用IE6.0以上1024*768浏览器访问本站 京ICP备14028265号
如果您有与网站相关的任何问题,请及时与我们联系(financialservicelaw@126.com),我们将做妥善处理!
版权所有©转载本网站内容,请注明转自"中国金融服务法治网"
欢迎您!第 位访问者!